Trend Analysis Graphs - Detroit River Hawk Watch
×
News
Day's Summary
Count Data
Migration Brief
Protocol
History
Support Staff
Hawk ID
Gallery
Links
×
News
Day's Summary
Count Data
Migration Brief
Protocol
History
Support Staff
Hawk ID
Gallery
Links
Go to content
×
Welcome
Location
Contact Us
Publications Library
Publications
DRHW 2024 Season Summary
DRHW 2023 Season Summary
DRHW 2022 Season Summary
DRHW 2021 Season Summary
DRHW 2020 Season Summary
DRHW 2019 Season Summary
DRHW 2018 Season Summary
DRHW 2017 Season Summary
Trend Analysis Graphs
Detroit River International Wildlife Refuge
International Wildlife Refuge Alliance
US Fish & Wildlife Service
_______________________
To donate to the Hawk Watch:
Go to this page on the
IWRA website
, click on the Paypal donation link, and put a message in the form indicating this donation is for the DRHW. Thank you for your support!
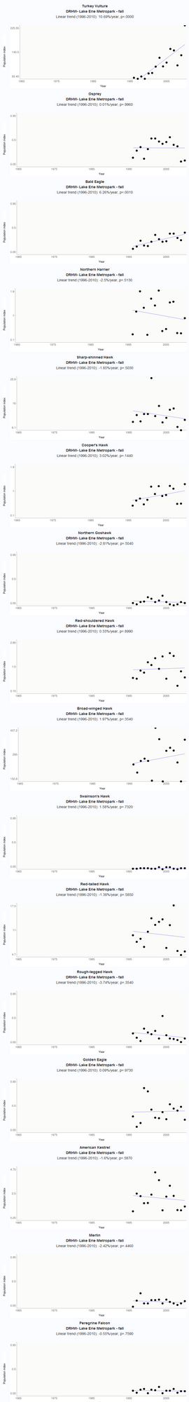
Trend Analysis Graphs
Click on the image for a larger version.
Back to content
To use this website you must enable JavaScript.